Strength Analysis Forum Game - Series 1

For lessons, as well as threads about specific moves, and anything else worth studying.
User avatar
topazg
Tengen
Posts: 4511
Joined: Wed Apr 21, 2010 3:08 am
Rank: Nebulous
GD Posts: 918
KGS: topazg
Location: Chatteris, UK
Has thanked: 1579 times
Been thanked: 650 times
Contact:

Re: Strength Analysis Forum Game - Series 1

Post by topazg »

I kept putting this off because of time constraints, and missed the deadline :(

tj86430 wrote:5. 1k (spirito vs. topazg)


Hahaha, awesome! I'm guessing I won as Black in this game looks very much like the way I'd play, but when's it from? I don't remember this game at all ..

EDIT: Found it, 30th July 2008!

I think I was a weak EGF 2k or so around then, so 1k is slightly generous to me, but heh, that's what the server said at the time so I guess you have to use it
tj86430
Gosei
Posts: 1348
Joined: Wed Apr 28, 2010 12:42 am
Rank: FGA 7k GoR 1297
GD Posts: 0
Location: Finland
Has thanked: 49 times
Been thanked: 129 times

Re: Strength Analysis Forum Game - Series 1

Post by tj86430 »

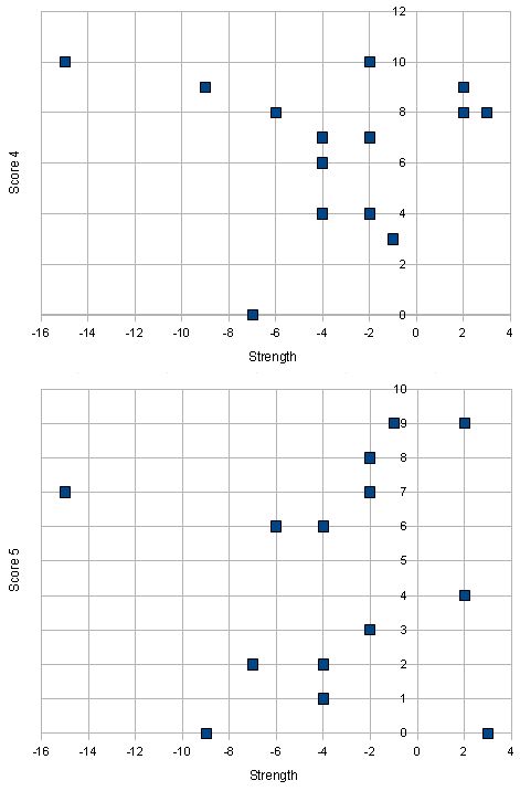
Some analysis of the scores:

Average of points for each game:

1: 6.00
2: 6.79
3: 5.74
4: 6.00
5: 6.68

Standard deviation of points for each game:

1: 2.75
2: 2.86
3: 2.45
4: 3.02
5: 3.11

Competitors rank vs score (first graph is for total score, and the rest for individual games. Two graphs / image)
Attachments
guess_strength_1_1.jpg
guess_strength_1_1.jpg (31.16 KiB) Viewed 9496 times
guess_strength_1_2.jpg
guess_strength_1_2.jpg (28.65 KiB) Viewed 9496 times
guess_strength_1_3.jpg
guess_strength_1_3.jpg (29.98 KiB) Viewed 9496 times
Offending ad removed
Stable
Lives with ko
Posts: 232
Joined: Thu Apr 29, 2010 6:12 am
Rank: KGS 1D
GD Posts: 0
Has thanked: 103 times
Been thanked: 39 times

Re: Strength Analysis Forum Game - Series 1

Post by Stable »

Score 4 looks like a kangaroo, score 5 looks like a horse. What this says about trends in strength vs accuracy I don't know...
unkx80
Lives with ko
Posts: 257
Joined: Tue Apr 20, 2010 12:21 am
Rank: Dan player
GD Posts: 0
Location: Singapore
Has thanked: 13 times
Been thanked: 30 times
Contact:

Re: Strength Analysis Forum Game - Series 1

Post by unkx80 »

I guess I did much better than anticipated. Seems pretty much consistent with my own rank guessing estimation when I posted life and death problems - I never seem to estimate the difficulty on the spot, but always off by about 3 ranks in either direction. :P

The charts show some interesting information. The total score indicates that a player's ability to estimate ranks seem to be independent from the player's rank?

People tend to do guess better in games 1, 2, and 4. Game 3 floored most people. There are points all over the place in the chart of game 5.
tj86430
Gosei
Posts: 1348
Joined: Wed Apr 28, 2010 12:42 am
Rank: FGA 7k GoR 1297
GD Posts: 0
Location: Finland
Has thanked: 49 times
Been thanked: 129 times

Re: Strength Analysis Forum Game - Series 1

Post by tj86430 »

Please note, that only the answers of people whose rank is indicated in profile are included in the graphs.
Offending ad removed
Kirby
Honinbo
Posts: 9553
Joined: Wed Feb 24, 2010 6:04 pm
GD Posts: 0
KGS: Kirby
Tygem: 커비라고해
Has thanked: 1583 times
Been thanked: 1707 times

Re: Strength Analysis Forum Game - Series 1

Post by Kirby »

Wow, I did well for a change!

Now I just wish that I only had to do this once to get a prize...

I guess I will try to do well in the next one, too.
be immersed
Kirby
Honinbo
Posts: 9553
Joined: Wed Feb 24, 2010 6:04 pm
GD Posts: 0
KGS: Kirby
Tygem: 커비라고해
Has thanked: 1583 times
Been thanked: 1707 times

Re: Strength Analysis Forum Game - Series 1

Post by Kirby »

Actually, I can't seem to find the next one, now. Is this series being postponed?
be immersed
tj86430
Gosei
Posts: 1348
Joined: Wed Apr 28, 2010 12:42 am
Rank: FGA 7k GoR 1297
GD Posts: 0
Location: Finland
Has thanked: 49 times
Been thanked: 129 times

Re: Strength Analysis Forum Game - Series 1

Post by tj86430 »

Kirby wrote:Actually, I can't seem to find the next one, now. Is this series being postponed?

My guess is that Araban has been too busy (or has forgotten).
Offending ad removed
User avatar
Solomon
Gosei
Posts: 1848
Joined: Tue Apr 20, 2010 9:21 pm
Rank: AGA 5d
GD Posts: 0
KGS: Capsule 4d
Tygem: 치킨까스 5d
Location: Bellevue, WA
Has thanked: 90 times
Been thanked: 835 times

Re: Strength Analysis Forum Game - Series 1

Post by Solomon »

tj86430 wrote:
Kirby wrote:Actually, I can't seem to find the next one, now. Is this series being postponed?

My guess is that Araban has been too busy (or has forgotten).

I've been busy, but the reason was that I made a mental note to start the next one on the 20th for some reason instead of the 15th :/.

edit: Epic fail on my part, I filtered out the kibitz on the SGFs I picked out and had them ready to go, but drove down to my family's home and forgot to post the new SGFs or put them on a thumb drive :/. Delayed till Sunday evening when I get back, again sorry :(.
User avatar
Chew Terr
Gosei
Posts: 2060
Joined: Mon Apr 19, 2010 12:45 pm
Rank: KGS 3k
GD Posts: 264
KGS: Chew
Location: Texas
Has thanked: 546 times
Been thanked: 172 times
Contact:

Re: Strength Analysis Forum Game - Series 1

Post by Chew Terr »

Hey, I did 100% better on this game than the last one!
Someday I want to be strong enough to earn KGS[-].
User avatar
Harleqin
Lives in sente
Posts: 921
Joined: Sat Mar 06, 2010 10:31 am
Rank: German 2 dan
GD Posts: 0
Has thanked: 401 times
Been thanked: 164 times

Re: Strength Analysis Forum Game - Series 1

Post by Harleqin »

Will there be a continuation here? :)
A good system naturally covers all corner cases without further effort.
Post Reply