YAMP (Yet Another Math Puzzle)

All non-Go discussions should go here.
User avatar
cyclops
Lives in sente
Posts: 801
Joined: Mon May 10, 2010 3:38 pm
Rank: KGS 7 kyu forever
GD Posts: 460
Location: Amsterdam (NL)
Has thanked: 353 times
Been thanked: 107 times
Contact:

Re: YAMP (Yet Another Math Puzzle)

Post by cyclops »

I checked the tip in the book and it said to prove the formula for G as we found it. So this brings us not any further.

Next I tabled F(15,k,r):


C(n,k)↓ k↓ r→ 1 2 3 4 5 6 7 8
105 2 14 13 12 11 10 9 8 7
455 3 169 121 81 49 25 9 1 0
1365 4 870 369 111 15 0 0 0 0
3003 5 2541 441 21 0 0 0 0 0
5005 6 4795 210 0 0 0 0 0 0
6435 7 6399 36 0 0 0 0 0 0
6435 8 6434 1 0 0 0 0 0 0
5005 9 5005 0 0 0 0 0 0 0
3003 10 3003 0 0 0 0 0 0 0
1365 11 1365 0 0 0 0 0 0 0
455 12 455 0 0 0 0 0 0 0
105 13 105 0 0 0 0 0 0 0
15 14 15 0 0 0 0 0 0 0
1 15 1 0 0 0 0 0 0 0

Also of little help. So I am about to give up. I will publish the answer from the book shortly unless someone attacks this Bastille.
User avatar
perceval
Lives in gote
Posts: 312
Joined: Thu Aug 05, 2010 3:35 am
Rank: 7K KGS
GD Posts: 0
KGS: tictac
Has thanked: 52 times
Been thanked: 41 times

Re: YAMP (Yet Another Math Puzzle)

Post by perceval »

cyclops wrote:I checked the tip in the book and it said to prove the formula for G as we found it. So this brings us not any further.

Next I tabled F(15,k,r):


C(n,k)↓ k↓ r→ 1 2 3 4 5 6 7 8
105 2 14 13 12 11 10 9 8 7
455 3 169 121 81 49 25 9 1 0
1365 4 870 369 111 15 0 0 0 0
3003 5 2541 441 21 0 0 0 0 0
5005 6 4795 210 0 0 0 0 0 0
6435 7 6399 36 0 0 0 0 0 0
6435 8 6434 1 0 0 0 0 0 0
5005 9 5005 0 0 0 0 0 0 0
3003 10 3003 0 0 0 0 0 0 0
1365 11 1365 0 0 0 0 0 0 0
455 12 455 0 0 0 0 0 0 0
105 13 105 0 0 0 0 0 0 0
15 14 15 0 0 0 0 0 0 0
1 15 1 0 0 0 0 0 0 0

Also of little help. So I am about to give up. I will publish the answer from the book shortly unless someone attacks this Bastille.



mm to me it is solved:

f(n,k,r)=[C(n-(k-1)(r-1),k)-C(n-r(k-1),k)]/C(n,k)

The fact that it does not simplify to something nice is irrelevant imho.
computation wise, the k! does simplify so your are left with 3 mult of k terms, 1 substraction and one div which is simple (for a computer)
In theory, there is no difference between theory and practice. In practice, there is.
User avatar
cyclops
Lives in sente
Posts: 801
Joined: Mon May 10, 2010 3:38 pm
Rank: KGS 7 kyu forever
GD Posts: 460
Location: Amsterdam (NL)
Has thanked: 353 times
Been thanked: 107 times
Contact:

Re: YAMP (Yet Another Math Puzzle)

Post by cyclops »

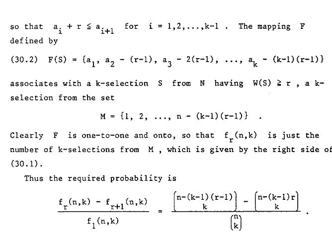
Here is the solution in the book. As you see the result is the same as ours. Their derivation is a bit more elegant because they don't use multicombinations.
Where they write fr(n,k) we wrote G(n,k,r).
Math30a.jpg
Math30a.jpg (35.3 KiB) Viewed 5310 times
Math30b.jpg
Math30b.jpg (42.4 KiB) Viewed 5310 times
User avatar
perceval
Lives in gote
Posts: 312
Joined: Thu Aug 05, 2010 3:35 am
Rank: 7K KGS
GD Posts: 0
KGS: tictac
Has thanked: 52 times
Been thanked: 41 times

Re: YAMP (Yet Another Math Puzzle)

Post by perceval »

cyclops wrote:Here is the solution in the book. As you see the result is the same as ours. Their derivation is a bit more elegant because they don't use multicombinations.
Where they write fr(n,k) we wrote G(n,k,r).

book solution is elegant indeed :)
In theory, there is no difference between theory and practice. In practice, there is.
Post Reply