From Chess to Go - One more "1 Year/ 1 Dan"

Create a study plan, track your progress and hold yourself accountable.
Go2where
Beginner
Posts: 3
Joined: Tue May 07, 2013 3:24 am
Rank: KGS 19 Kyu
GD Posts: 0
KGS: Go2where
IGS: Go2where
DGS: betoacosta

From Chess to Go - One more "1 Year/ 1 Dan"

Post by Go2where »

Hi,

I play under the Go2where nick on KGS. I know that it annoys some Go players, but here it goes, I am a chess player and played my first Go game on the 14th of April. I got a bit addicted and decided now to start one more journal about the road to shodan. I won't start the debate if it is possible and what it means as there are several scenarios where I might get there and be disappointed and not get there and be satisfied.

As a data freak here you have my progression so far (it excludes something like 20 live games)

24k-22k 1 day /6 games
21-20k 3 days /15 games
19 k 10/6
18k 2/8
17k 4/4
16k 4/7
15k 1/11
14k 5/35
13k 7/68
12k 17/137(!)

And I'm currently in 11k with something like a 15-2 track record more due to variance than actual strength. Obviously it is going to get progressively harder to improve but I'm happy so far.

Training plan. I did a bit more study than playing in the beginning as because I am a chess player and so I already have a "game mindset". I would say that my game is passive and from what I understood that is somehow common among chessplayers converted to go (according to Sensei Library) so my first games tended to be two huge territories 140 vs 150 points, I have noticed that agression is coming as I move up in the ladder but I am still trailing the people on the same grade than me.

I am now switching full scale to playing but have read so far the Janice Kim Book v2, In the beginning Opening theory made easy, both on the Ipad I think that the app Smartgo Books is just an amazing way to study (but it still is studying, never as fun as playing). I am currently working trough "Tesuji" of James Davies but really want to get the "Attack and Defense".

I will try to comment a recent game of mine in the next couple of days (actually it is the purpose of this thread).

On a nutshell:

Playing since 14/4
Currently 11k
Goal 1 dan KGS 14/4/2014
Secondary Goal Be 1 Dan before Vladimir (I see that he has the most popular thread here...)
User avatar
jts
Oza
Posts: 2662
Joined: Sat Sep 18, 2010 4:17 pm
Rank: kgs 6k
GD Posts: 0
Has thanked: 310 times
Been thanked: 632 times

Re: From Chess to Go - One more "1 Year/ 1 Dan"

Post by jts »

Thanks for keeping track of this data! I've been encouraging people to do this for a while, and I think it will be very advantageous once we have a large data set. (The game numbers are cumulative and the day numbers are non-cumulative, correct?) You're making quick progress, keep up the good work.

You don't mention anything about tsumego - if you're familiar with chess problems then I'm sure you'll take to them naturally. I'm sure you've seen people recommend "Graded Go Problems for Beginners" - there are also free tsumego online, I particularly like GoChild and http://tsumego.tasuki.org/
Boidhre
Oza
Posts: 2356
Joined: Mon Mar 05, 2012 7:15 pm
GD Posts: 0
Universal go server handle: Boidhre
Location: Ireland
Has thanked: 661 times
Been thanked: 442 times

Re: From Chess to Go - One more "1 Year/ 1 Dan"

Post by Boidhre »

Graded Go Problems for Beginners Vol. 2 is on Smart Go Books on the iPad. It's about perfect for you right now if you haven't already picked it up. Once you're a few stones stronger get the Lectures of Go Techniques books, they're very good. For problems right now, I like GoChild a lot, though there is a small yearly fee too unlock all the problems. There is a very nice selection of problems there and working through the 1000 Intermediate Life and Death Problems would be a nice side project for you.

Good luck with your goal, I look forward to reading about your success. :)
aokun
Dies with sente
Posts: 120
Joined: Tue Aug 03, 2010 1:50 pm
Rank: AGA 1D
GD Posts: 150
KGS: aokun
Has thanked: 4 times
Been thanked: 63 times

Re: From Chess to Go - One more "1 Year/ 1 Dan"

Post by aokun »

I love the statistics, days and games. Please keep us posted ...
schawipp
Lives in gote
Posts: 420
Joined: Mon Nov 12, 2012 1:13 am
Rank: EGF 4k
GD Posts: 0
Has thanked: 75 times
Been thanked: 58 times

Re: From Chess to Go - One more "1 Year/ 1 Dan"

Post by schawipp »

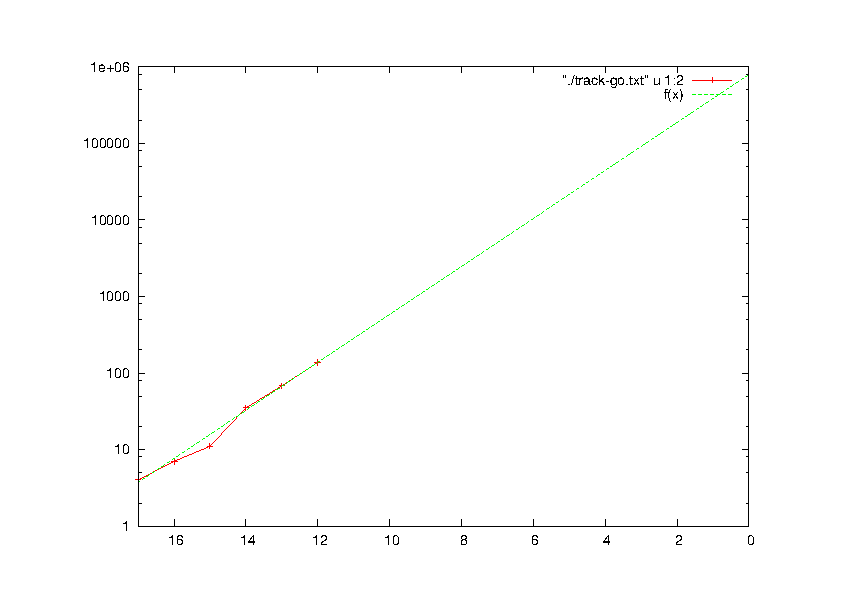
I always have the feeling that climbing up the ranks is somewhat similar as climbing up a graph with a logarithmic axis, since improving the rank is equivalent to reducing the relativ error level. In EGF rating the winning chance for 1 kyu difference without handycap is about 71%.

With the simple assumption that the total number of mistakes decides the game and with an assumed average total number of moves of 250, a brute-force Monte Carlo experiment shows that at an average mistake level of 50% (I do not know, which kyu level this represents, I assume somewhere around 15k), one rank difference means to make only about 93% of the mistakes as the weaker player, i. e. a 7% reduction. At only 10% mistake level (around 13-14 stones better, let's assume somewhere in the range of 2k), the mistake reduction factor is even a bit stronger (76%, i. e. 24% average reduction in mistake probability per move) to maintain the same winning chance of 71% per grade.

With the numerical example, to get from around 15k to 14k you need to reduce the number of mistakes in a 250 move game (i. e. 125 moves per plaer) from 63 to 58, which seems quite achievable. To get from 2k to 1k you need to reduce the number of mistakes from 12 to 9, this seems much more tough.

Given that numerical examples, I tried to plot your rank history vs. number of played games on a logarithmic axis and make a high-accuracy ( :mrgreen: ) extrapolation till shodan rank.
trackrecord.png
trackrecord.png (8.92 KiB) Viewed 13971 times


Thus, if you maintain your training speed, you will need about 10^6 games to get to shodan.

IMHO this shows, that for getting to or beyond shodan, external input from stronger players is mandatory, which alters your view on the game and training strategy substancially and thus would break the logarithmic law to some extent.
User avatar
PeterPeter
Lives with ko
Posts: 285
Joined: Wed Oct 03, 2012 1:11 am
GD Posts: 0
Location: UK
Has thanked: 42 times
Been thanked: 52 times

Re: From Chess to Go - One more "1 Year/ 1 Dan"

Post by PeterPeter »

Go2where wrote:I did a bit more study than playing in the beginning as because I am a chess player and so I already have a "game mindset". I would say that my game is passive and from what I understood that is somehow common among chessplayers converted to go

Out of interest, what is your chess rating?
Regards,

Peter
User avatar
wineandgolover
Lives in sente
Posts: 866
Joined: Sun Jul 25, 2010 6:05 am
GD Posts: 0
Has thanked: 318 times
Been thanked: 345 times

Re: From Chess to Go - One more "1 Year/ 1 Dan"

Post by wineandgolover »

schawipp wrote:I always have the feeling that climbing up the ranks is somewhat similar as climbing up a graph with a logarithmic axis, since improving the rank is equivalent to reducing the relativ error level. ...

Thus, if you maintain your training speed, you will need about 10^6 games to get to shodan.


The non-linearity in improvement is an important concept. Based on other's experiences, I suspect your million game estimate is a tad conservative.

I will start a new thread based on this post though. So thanks.
- Brady
Want to see videos of low-dan mistakes and what to learn from them? Brady's Blunders
schawipp
Lives in gote
Posts: 420
Joined: Mon Nov 12, 2012 1:13 am
Rank: EGF 4k
GD Posts: 0
Has thanked: 75 times
Been thanked: 58 times

Re: From Chess to Go - One more "1 Year/ 1 Dan"

Post by schawipp »

wineandgolover wrote:The non-linearity in improvement is an important concept. Based on other's experiences, I suspect your million game estimate is a tad conservative.


Yes, in my "high accuracy extrapolation" I did not show any error bars... ;-). Also I think my estimation of 50% mistakes <-> 15k and 10% mistakes <-> 2k is not accurate since there would not be enough space left till 9d.

However it would be interesting to make these logarithmic plots on a wider statistical basis, e. g. the player records of the KGS archive could be used as data source.
User avatar
wineandgolover
Lives in sente
Posts: 866
Joined: Sun Jul 25, 2010 6:05 am
GD Posts: 0
Has thanked: 318 times
Been thanked: 345 times

Re: From Chess to Go - One more "1 Year/ 1 Dan"

Post by wineandgolover »

The new thread I mentioned is here. I'd love to hear your thoughts.

I thought it would be better to start a new thread than to hijack Go2where's ambitious, but doable study plan. Good luck!
- Brady
Want to see videos of low-dan mistakes and what to learn from them? Brady's Blunders
Go2where
Beginner
Posts: 3
Joined: Tue May 07, 2013 3:24 am
Rank: KGS 19 Kyu
GD Posts: 0
KGS: Go2where
IGS: Go2where
DGS: betoacosta

Re: From Chess to Go - One more "1 Year/ 1 Dan"

Post by Go2where »

My first attempt to comment on a game, a bit cryptic but keep in mind that it is my first time. I guess that I had a lead in the opening but than made a mistake (tenuki) and a group of mine got killed and was never able to find any agressive continuation to recover some losses.

As my stats where a source of amusement a quick update, I have been an 11 kyu now for 5 days and I am 22-12 as a Win/loss ratio however this is a bit biased as I had a great run of something like 12 victories when promoted. I am something like 5-9 in the last three days.

I forgot to mention some (very important) resources that hopefully will make my progression more linear than logarithmic. I go every now and then to a go club where I get to play mostly 7-9 handicap games which I find very stressful but interesting as players have an agression that you can't find in double digit kyu. I am playing the Advanced Study Room league (I am in Gamma IV) which is great resource as so far players have been very friendly and give very thorough and insightful comments and it is always a dignified experience to be crushed in a even game by someone 10 ranks higher.

I downloaded the app from goproblems.com (I already have several others, but this one together with easygo seem the best ones).

Books: I looked at the free chapters of graded problems v2 and it looked a bit basic from my level, am I alright in jumping to volume 3? Or maybe is just the first/free chapters?
Attachments
Go2where-bluetwo with comments.sgf
(5.55 KiB) Downloaded 1273 times
User avatar
wineandgolover
Lives in sente
Posts: 866
Joined: Sun Jul 25, 2010 6:05 am
GD Posts: 0
Has thanked: 318 times
Been thanked: 345 times

Re: From Chess to Go - One more "1 Year/ 1 Dan"

Post by wineandgolover »

I'm not saying that you are right to skip volume 2, but volume 3 certainly isn't over your head.

I am amazed that twelve straight wins didn't result in your gaining 10k.

Keep up the good work.
- Brady
Want to see videos of low-dan mistakes and what to learn from them? Brady's Blunders
User avatar
jts
Oza
Posts: 2662
Joined: Sat Sep 18, 2010 4:17 pm
Rank: kgs 6k
GD Posts: 0
Has thanked: 310 times
Been thanked: 632 times

Re: From Chess to Go - One more "1 Year/ 1 Dan"

Post by jts »

Quote this post to see how to post the .sgf that you uploaded.



The ASR is great. My one piece of advice would be not to obsess over getting your ASR matches in - if no one in your division is free, just automatch.

It's hard to decide for you whether GGPvB is too hard or not. I assumed you were checking the answers and didn't find any variations that tripped you up? A lot of people recommend doing problems that you can solve (a) thoroughly, (b) in your head, (c) quickly, (d) with a very high success rate. Just because the first chapter seems easy doesn't mean you shouldn't do the problems.
Bill Spight
Honinbo
Posts: 10905
Joined: Wed Apr 21, 2010 1:24 pm
Has thanked: 3651 times
Been thanked: 3373 times

Re: From Chess to Go - One more "1 Year/ 1 Dan"

Post by Bill Spight »

A few comments on the opening. :)

The Adkins Principle:
At some point, doesn't thinking have to go on?
— Winona Adkins

Visualize whirled peas.

Everything with love. Stay safe.
vpopovic
Lives with ko
Posts: 149
Joined: Fri Apr 05, 2013 10:59 am
Rank: KGS 7 kyu
GD Posts: 0
KGS: Vladimir
Location: Belgrade, Serbia
Has thanked: 12 times
Been thanked: 28 times

Re: From Chess to Go - One more "1 Year/ 1 Dan"

Post by vpopovic »

Why does everybody want to beat me? :)
Just kidding, of course. The more the merrier.

Good luck to both of us, mate.
Go2where
Beginner
Posts: 3
Joined: Tue May 07, 2013 3:24 am
Rank: KGS 19 Kyu
GD Posts: 0
KGS: Go2where
IGS: Go2where
DGS: betoacosta

Re: From Chess to Go - One more "1 Year/ 1 Dan"

Post by Go2where »

I was just now promoted to 10kyu... a quick update

24k-22k 1 day /6 games
21-20k 3 days /15 games
19 k 10/6
18k 2/8
17k 4/4
16k 4/7
15k 1/11
14k 5/35
13k 7/68
12k 17/137(!)
11k 18 days/ 112 games with 72 victories for a 64% result.

I think that my account is getting

(very)heavy as I managed to get this 64% rate since the beginning of my 11 kyu. I actually started the 11 kyu with a 10 game victory streak.


However this step was very important for me two big lessons, the first not so intuitive and learned on "attack and defense"

1."Do not touch what you are attacking" - this clearly makes a whole world of difference and if you play some games you can eventually get it by yourself but a stated rules makes it easier.

2. Also in Attack and defence but somehow more intuitive but harder to put into practice "attacking is not for killing but for profiting"

I guessed that this two rules and the importance of attacking started to make a lot of difference as before I guess that the average game was something like 120 points vs 110 points and as a 11 kyu I played (and lost by 1.5 points) a 64 vs 62.5 game, and was quite happy about it.

Smart books released the "graded problems v3" that I have started (im in problem 70). I have also played a couple of games in ASR and a couple more live games.

Unfortunately for the next couple of months I wont have as much free time as before for playing so the evolution can't continue to came from a massive number of games.
Post Reply